Ψηφιακά Συστήματα (Θεωρία)
Έγγραφα
| Τύπος | Όνομα ![]() | Μέγεθος | Ημερομηνία | |
|---|---|---|---|---|
| Ασκήσεις Επανάληψης Κεφ 6,7,8,10 pdf | 359.18 KB | 22-12-2020 | ||
| Ασκήσεις Επανάληψης Κεφ 6,7,8,10 word | 526 KB | 22-12-2020 | ||
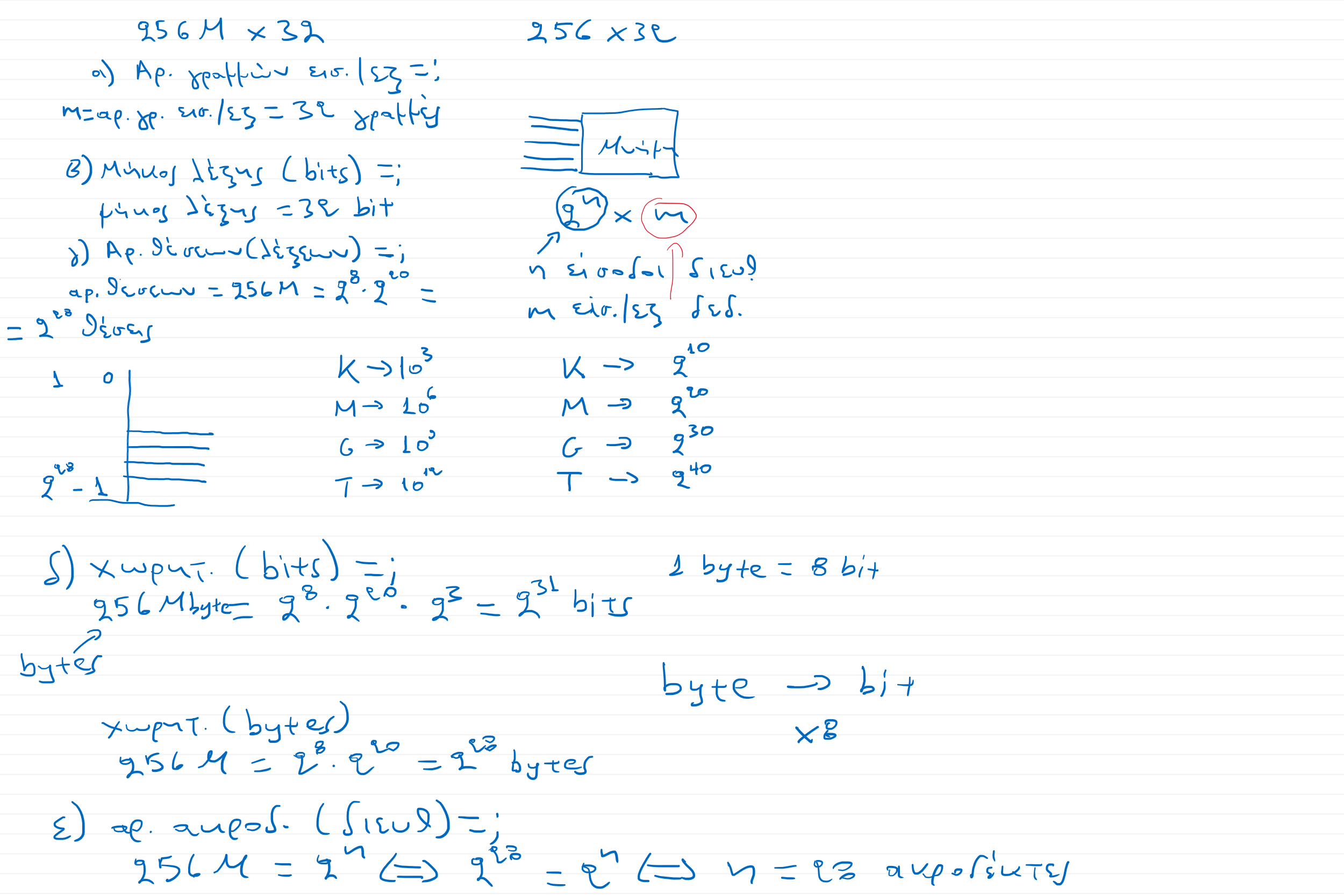
| Λυμένη Άσκηση Μνήμες | 380.65 KB | 09-12-2020 | ||
| Λυμένη Άσκηση Μνήμες 2 | 337.73 KB | 03-04-2021 |
